MTH401-Differential Equations Assignment no. 1 Solution FALL 2019 Due date: 09 December, 2019

Subject: MTH401-Differential Equations

Semester: FALL 2019 
Assignment No. 1

Due date: 09 December, 2019

MTH401-Differential Equations Assignment 1 #Questions

Question no. 1:


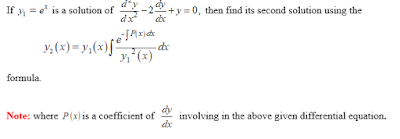
Question no. 2:

MTH401-Differential Equations Assignment 1 #Solution Download!

MTH401 Assignment_1 Solution FALL_2019 ———————————————— Download

Author

Picture of Anam Afzal

Anam Afzal

Hi, I'm a Pakistani freelancer with a passion for helping businesses achieve their online goals through no-code solutions. I specialize in WordPress customization and ManyChat automation, and I'm always on the lookout for new ways to use technology to make businesses more efficient and successful. I'm also a big believer in the power of no-code tools to democratize technology and make it accessible to everyone. I'm passionate about sharing my knowledge and helping others learn how to use no-code tools to create their own websites, automate their workflows, and grow their businesses. If you're looking for a reliable and experienced no-code developer, I'm here to help. Please feel free to contact me to discuss your project requirements.
SHARE THIS POST